Graphics and Data Visualization in R

Author

Thomas Girke

Published

April 10, 2026

Download qmd

Overview

Graphics in R

  • Powerful environment for visualizing scientific data
  • Integrated graphics and statistics infrastructure
  • Publication quality graphics
  • Fully programmable
  • Highly reproducible
  • Full LaTeX, Sweave, knitr and R Markdown support.
  • Vast number of R packages with graphics utilities

Documentation on Graphics in R

Graphics Environments

  • Viewing and savings graphics in R
    • On-screen graphics
    • postscript, pdf, svg
    • jpeg/png/wmf/tiff/…
  • Four major graphics environments

Base Graphics

Overview

  • Important high-level plotting functions
    • plot: generic x-y plotting
    • barplot: bar plots
    • boxplot: box-and-whisker plot
    • hist: histograms
    • pie: pie charts
    • dotchart: cleveland dot plots
    • image, heatmap, contour, persp: functions to generate image-like plots
    • qqnorm, qqline, qqplot: distribution comparison plots
    • pairs, coplot: display of multivariant data
  • Help on these functions
    • ?myfct
    • ?plot
    • ?par

Preferred Input Data Objects

  • Matrices and data frames
  • Vectors
  • Named vectors

Scatter Plots

Basic scatter plots

Sample data set for subsequent plots

set.seed(1410)
y <- matrix(runif(30), ncol=3, dimnames=list(letters[1:10], LETTERS[1:3]))
y
           A          B            C
a 0.26904539 0.47439030 0.4427788756
b 0.53178658 0.31128960 0.3233293493
c 0.93379571 0.04576263 0.0004628517
d 0.14314802 0.12066723 0.4104402000
e 0.57627063 0.83251909 0.9884746270
f 0.49001235 0.38298651 0.8235850153
g 0.66562596 0.70857731 0.7490944304
h 0.50089252 0.24772695 0.2117313873
i 0.57033245 0.06044799 0.8776291364
j 0.04087422 0.85814118 0.1061618729
plot(y[,1], y[,2]) 

All pairs

pairs(y) 

Plot labels

plot(y[,1], y[,2], pch=20, col="red", main="Symbols and Labels")
text(y[,1]+0.03, y[,2], rownames(y))

More examples

Print instead of symbols the row names

plot(y[,1], y[,2], type="n", main="Plot of Labels")
text(y[,1], y[,2], rownames(y)) 

Usage of important plotting parameters

grid(5, 5, lwd = 2) 
op <- par(mar=c(8,8,8,8), bg="lightblue")
plot(y[,1], y[,2], type="p", col="red", cex.lab=1.2, cex.axis=1.2, 
     cex.main=1.2, cex.sub=1, lwd=4, pch=20, xlab="x label", 
     ylab="y label", main="My Main", sub="My Sub")
par(op)

Important arguments} - mar: specifies the margin sizes around the plotting area in order: c(bottom, left, top, right) - col: color of symbols - pch: type of symbols, samples: example(points) - lwd: size of symbols - cex.*: control font sizes - For details see ?par

Add a regression line to a plot

plot(y[,1], y[,2])
myline <- lm(y[,2]~y[,1]); abline(myline, lwd=2) 

summary(myline) 

Call:
lm(formula = y[, 2] ~ y[, 1])

Residuals:
     Min       1Q   Median       3Q      Max 
-0.40357 -0.17912 -0.04299  0.22147  0.46623 

Coefficients:
            Estimate Std. Error t value Pr(>|t|)  
(Intercept)   0.5764     0.2110   2.732   0.0258 *
y[, 1]       -0.3647     0.3959  -0.921   0.3839  
---
Signif. codes:  0 '***' 0.001 '**' 0.01 '*' 0.05 '.' 0.1 ' ' 1

Residual standard error: 0.3095 on 8 degrees of freedom
Multiple R-squared:  0.09589,   Adjusted R-squared:  -0.01712 
F-statistic: 0.8485 on 1 and 8 DF,  p-value: 0.3839

Same plot as above, but on log scale

plot(y[,1], y[,2], log="xy") 

Add a mathematical expression to a plot

plot(y[,1], y[,2]); text(y[1,1], y[1,2], 
     expression(sum(frac(1,sqrt(x^2*pi)))), cex=1.3) 

Exercise 1

  • Task 1: Generate scatter plot for first two columns in iris data frame and color dots by its Species column.
  • Task 2: Use the xlim/ylim arguments to set limits on the x- and y-axes so that all data points are restricted to the left bottom quadrant of the plot.

Structure of iris data set:

class(iris)
[1] "data.frame"
iris[1:4,]
table(iris$Species)

    setosa versicolor  virginica 
        50         50         50 

Line Plots

Single Data Set

plot(y[,1], type="l", lwd=2, col="blue") 

Additional lines can be added to an existing plot with the lines() function.

plot(y[,1], type="l", lwd=2, col="blue")
lines(y[,2], lwd=2, lty=1,  col="red")
legend(8.3, 0.95, legend=c("Line 1", "Line 2"), col=c("blue", "red"), lty=1)

Many Data Sets

Alterntively, one can plot a line graph for all columns in data frame y with the following approach. The split.screen function is used in this example in a for loop to overlay several line graphs in the same plot.

split.screen(c(1,1)) 
[1] 1
plot(y[,1], ylim=c(0,1), xlab="Measurement", ylab="Intensity", type="l", lwd=2, col=1)
for(i in 2:length(y[1,])) { 
    screen(1, new=FALSE)
    plot(y[,i], ylim=c(0,1), type="l", lwd=2, col=i, xaxt="n", yaxt="n", ylab="", 
             xlab="", main="", bty="n") 
}

close.screen(all=TRUE) 

Bar Plots

Basics

barplot(y[1:4,], ylim=c(0, max(y[1:4,])+0.3), beside=TRUE, 
        legend=letters[1:4]) 
text(labels=round(as.vector(as.matrix(y[1:4,])),2), x=seq(1.5, 13, by=1)
     +sort(rep(c(0,1,2), 4)), y=as.vector(as.matrix(y[1:4,]))+0.04) 

Error bars

bar <- barplot(m <- rowMeans(y) * 10, ylim=c(0, 10))
stdev <- sd(t(y))
arrows(bar, m, bar, m + stdev, length=0.15, angle = 90)

Mirrored bar plot

df <- data.frame(group = rep(c("Above", "Below"), each=10), x = rep(1:10, 2), y = c(runif(10, 0, 1), runif(10, -1, 0)))
plot(c(0,12), range(df$y), type = "n")
barplot(height = df$y[df$group == "Above"], add = TRUE, axes = FALSE)
barplot(height = df$y[df$group == "Below"], add = TRUE, axes = FALSE)

Bar plot of loan payments and amortization tables

The following imports a mortgage payment function (from here) that calculates monthly and annual mortgage/loan payments, generates amortization tables and plots the results in form of a bar plot. A Shiny App using this function has been created by Antoine Soetewey here.

source("https://raw.githubusercontent.com/tgirke/GEN242/main/content/en/tutorials/rgraphics/scripts/mortgage.R")
The monthly mortgage payments and amortization rates can be calculted with the mortgage() function like this: 
 
    m <- mortgage(P=500000, I=6, L=30, plotData=TRUE)
        P = principal (loan amount)
        I = annual interest rate
        L = length of the loan in years 
m <- mortgage(P=250000, I=6, L=15, plotData=TRUE)

The payments for this loan are:
 
            Monthly payment: $2109.642 (stored in m$monthPay)

            Total cost: $379735.6

The amortization data for each of the 180 months are stored in "m$aDFmonth".

The amortization data for each of the 15 years are stored in "m$aDFyear".

Histograms

hist(y, freq=TRUE, breaks=10)

Density Plots}

plot(density(y), col="red")

Pie Charts

pie(y[,1], col=rainbow(length(y[,1]), start=0.1, end=0.8), clockwise=TRUE)
legend("topright", legend=row.names(y), cex=1.3, bty="n", pch=15, pt.cex=1.8, 
col=rainbow(length(y[,1]), start=0.1, end=0.8), ncol=1) 

Color Selection Utilities

Default color palette and how to change it

palette()
[1] "black"   "#DF536B" "#61D04F" "#2297E6" "#28E2E5" "#CD0BBC" "#F5C710" "gray62" 
palette(rainbow(5, start=0.1, end=0.2))
palette()
[1] "#FF9900" "#FFBF00" "#FFE600" "#F2FF00" "#CCFF00"
palette("default")

The gray function allows to select any type of gray shades by providing values from 0 to 1

gray(seq(0.1, 1, by= 0.2))
[1] "#1A1A1A" "#4D4D4D" "#808080" "#B3B3B3" "#E6E6E6"

Color gradients with colorpanel function from gplots library

library(gplots)
colorpanel(5, "darkblue", "yellow", "white")

Much more on colors in R see Earl Glynn’s color chart

Arranging Several Plots on Single Page

With par(mfrow=c(nrow, ncol)) one can define how several plots are arranged next to each other.

par(mfrow=c(2,3)) 
for(i in 1:6) plot(1:10) 

Arranging Plots with Variable Width

The layout function allows to divide the plotting device into variable numbers of rows and columns with the column-widths and the row-heights specified in the respective arguments.

nf <- layout(matrix(c(1,2,3,3), 2, 2, byrow=TRUE), c(3,7), c(5,5), 
             respect=TRUE)
# layout.show(nf)
for(i in 1:3) barplot(1:10) 

Saving Graphics to Files

After the pdf() command all graphs are redirected to file test.pdf. Works for all common formats similarly: jpeg, png, ps, tiff, …

pdf("test.pdf"); plot(1:10, 1:10); dev.off() 

Generates Scalable Vector Graphics (SVG) files that can be edited in vector graphics programs, such as InkScape.

svg("test.svg"); plot(1:10, 1:10); dev.off() 

Exercise 2

Bar plots

  • Task 1: Calculate the mean values for the Species components of the first four columns in the iris data set. Organize the results in a matrix where the row names are the unique values from the iris Species column and the column names are the same as in the first four iris columns.
  • Task 2: Generate two bar plots: one with stacked bars and one with horizontally arranged bars.

Structure of iris data set:

class(iris)
[1] "data.frame"
iris[1:4,]
table(iris$Species)

    setosa versicolor  virginica 
        50         50         50 

Grid Graphics

  • What is grid?
    • Low-level graphics system
    • Highly flexible and controllable system
    • Does not provide high-level functions
    • Intended as development environment for custom plotting functions
    • Pre-installed on new R distributions
  • Documentation and Help

lattice Graphics

  • What is lattice?
    • High-level graphics system
    • Developed by Deepayan Sarkar
    • Implements Trellis graphics system from S-Plus
    • Simplifies high-level plotting tasks: arranging complex graphical features
    • Syntax similar to R’s base graphics
  • Documentation and Help

Open a list of all functions available in the lattice package

library(lattice) 
library(help=lattice) 

Accessing and changing global parameters:

?lattice.options
?trellis.device

Scatter Plot Sample

library(lattice)
p1 <- xyplot(1:8 ~ 1:8 | rep(LETTERS[1:4], each=2), as.table=TRUE) 
plot(p1)

Line Plot Sample

library(lattice)
p2 <- parallelplot(~iris[1:4] | Species, iris, horizontal.axis = FALSE, 
              layout = c(1, 3, 1))  
plot(p2)

ggplot2 Graphics

  • What is ggplot2?
    • High-level graphics system developed by Hadley Wickham
    • Implements grammar of graphics from Leland Wilkinson
    • Streamlines many graphics workflows for complex plots
    • Syntax centered around main ggplot function
    • Simpler qplot function provides many shortcuts
  • Documentation and Help

Design Concept of ggplot2

Plotting formalized and implemented by the grammar of graphics by Leland Wilkinson and Hadley Wickham (Wickham 2010, 2009; Wilkinson 2012). The plotting process in ggplot2 is devided into layers including:

  1. Data: the actual data to be plotted
  2. Aesthetics: visual property of the objects in a plot (e.g. size, shape or color )
  3. Geometries: shapes used to represent data (e.g. bar or scatter plot)
  4. Facets: row and column layout of sub-plots
  5. Statistics: data models and summaries
  6. Coordinates: the plotting space
  7. Theme: styles to be used, such as fonts, backgrounds, etc.

sphm### ggplot2 Usage

  • ggplot function accepts two main arguments
    • Data set to be plotted
    • Aesthetic mappings provided by aes function
  • Additional parameters such as geometric objects (e.g. points, lines, bars) are passed on by appending them with + as separator.
  • List of available geom_* functions see here
  • Settings of plotting theme can be accessed with the command theme_get() and its settings can be changed with theme().
  • Preferred input data object
    • qplot: data.frame or tibble (support for vector, matrix, ...)
    • ggplot: data.frame or tibble
  • Packages with convenience utilities to create expected inputs
    • dplyr (plyr)
    • tidyr and reshape2

qplot Function

The syntax of qplot is similar as R’s basic plot function

  • Arguments
    • x: x-coordinates (e.g. col1)
    • y: y-coordinates (e.g. col2)
    • data: data.frame or tibble with corresponding column names
    • xlim, ylim: e.g. xlim=c(0,10)
    • log: e.g. log="x" or log="xy"
    • main: main title; see ?plotmath for mathematical formula
    • xlab, ylab: labels for the x- and y-axes
    • color, shape, size
    • ...: many arguments accepted by plot function

qplot: scatter plot basics

Create sample data, here 3 vectors: x, y and cat

library(ggplot2)
x <- sample(1:10, 10); y <- sample(1:10, 10); cat <- rep(c("A", "B"), 5)

Simple scatter plot

qplot(x, y, geom="point")

Prints dots with different sizes and colors

qplot(x, y, geom="point", size=x, color=cat, 
      main="Dot Size and Color Relative to Some Values")

Drops legend

qplot(x, y, geom="point", size=x, color=cat) + 
      theme(legend.position = "none")

Plot different shapes

qplot(x, y, geom="point", size=5, shape=cat)

Colored groups

p <- qplot(x, y, geom="point", size=x, color=cat, 
            main="Dot Size and Color Relative to Some Values") + 
     theme(legend.position = "none")
print(p)

Regression line

set.seed(1410)
dsmall <- diamonds[sample(nrow(diamonds), 1000), ]
p <- qplot(carat, price, data = dsmall) +
           geom_smooth(method="lm")
print(p)

Local regression curve (loess)

p <- qplot(carat, price, data=dsmall, geom=c("point", "smooth")) 
print(p) # Setting se=FALSE removes error shade

ggplot Function

  • More important than qplot to access full functionality of ggplot2
  • Main arguments
    • data set, usually a data.frame or tibble
    • aesthetic mappings provided by aes function
  • General ggplot syntax
    • ggplot(data, aes(...)) + geom() + ... + stat() + ...
  • Layer specifications
    • geom(mapping, data, ..., geom, position)
    • stat(mapping, data, ..., stat, position)
  • Additional components
    • scales
    • coordinates
    • facet
  • aes() mappings can be passed on to all components (ggplot, geom, etc.). Effects are global when passed on to ggplot() and local for other components.
    • x, y
    • color: grouping vector (factor)
    • group: grouping vector (factor)

Changing Plotting Themes in ggplot

  • Theme settings can be accessed with theme_get()
  • Their settings can be changed with theme()

Example how to change background color to white

... + theme(panel.background=element_rect(fill = "white", colour = "black")) 

Storing ggplot Specifications

Plots and layers can be stored in variables

p <- ggplot(dsmall, aes(carat, price)) + geom_point() 
p # or print(p)

Returns information about data and aesthetic mappings followed by each layer

summary(p) 

Print dots with different sizes and colors

bestfit <- geom_smooth(method = "lm", se = F, color = alpha("steelblue", 0.5), size = 2)
p + bestfit # Plot with custom regression line

Syntax to pass on other data sets

p %+% diamonds[sample(nrow(diamonds), 100),] 

Saves plot stored in variable p to file

ggsave(p, file="myplot.pdf") 

Standard R export functons for graphics work as well (see here).

ggplot: scatter plots

Basic example

set.seed(1410)  
dsmall <- as.data.frame(diamonds[sample(nrow(diamonds), 1000), ])
p <- ggplot(dsmall, aes(carat, price, color=color)) + 
            geom_point(size=4)
print(p) 

Interactive version of above plot can be generated with the ggplotly function from the plotly package.

library(plotly)
ggplotly(p)

Regression line

p <- ggplot(dsmall, aes(carat, price)) + geom_point() + 
            geom_smooth(method="lm", se=FALSE) +
            theme(panel.background=element_rect(fill = "white", colour = "black"))
print(p) 

Several regression lines

p <- ggplot(dsmall, aes(carat, price, group=color)) + 
            geom_point(aes(color=color), size=2) + 
            geom_smooth(aes(color=color), method = "lm", se=FALSE) 
print(p) 

Local regression curve (loess)

p <- ggplot(dsmall, aes(carat, price)) + geom_point() + geom_smooth() 
print(p) # Setting se=FALSE removes error shade

ggplot: line plot

p <- ggplot(iris, aes(Petal.Length, Petal.Width, group=Species, 
            color=Species)) + geom_line() 
print(p) 

Faceting

p <- ggplot(iris, aes(Sepal.Length, Sepal.Width)) + 
            geom_line(aes(color=Species), size=1) + 
            facet_wrap(~Species, ncol=1)
print(p) 

Exercise 3

Scatter plots with ggplot2

  • Task 1: Generate scatter plot for first two columns in iris data frame and color dots by its Species column.
  • Task 2: Use the xlim and ylim arguments to set limits on the x- and y-axes so that all data points are restricted to the left bottom quadrant of the plot.
  • Task 3: Generate corresponding line plot with faceting presenting the individual data sets in saparate plots.

Structure of iris data set

class(iris)
[1] "data.frame"
iris[1:4,]
table(iris$Species)

    setosa versicolor  virginica 
        50         50         50 

Bar Plots

Sample Set: the following transforms the iris data set into a ggplot2-friendly format.

Calculate mean values for aggregates given by Species column in iris data set

iris_mean <- aggregate(iris[,1:4], by=list(Species=iris$Species), FUN=mean) 

Calculate standard deviations for aggregates given by Species column in iris data set

iris_sd <- aggregate(iris[,1:4], by=list(Species=iris$Species), FUN=sd) 

Reformat iris_mean with melt from wide to long form as expected by ggplot2. Newer alternatives for restructuring data.frames and tibbles from wide into long form use the gather and pivot_longer functions defined by the tidyr package. Their usage is shown below as well. The functions pivot_longer and pivot_wider are expected to provide the most flexible long-term solution, but may not work in older R versions.

library(reshape2) # Defines melt function
df_mean <- melt(iris_mean, id.vars=c("Species"), variable.name = "Samples", value.name="Values")
df_mean2 <- tidyr::gather(iris_mean, !Species, key = "Samples", value = "Values")
df_mean3 <- tidyr::pivot_longer(iris_mean, !Species, names_to="Samples", values_to="Values") 

Reformat iris_sd with melt

df_sd <- melt(iris_sd, id.vars=c("Species"), variable.name = "Samples", value.name="Values")

Define standard deviation limits

limits <- aes(ymax = df_mean[,"Values"] + df_sd[,"Values"], ymin=df_mean[,"Values"] - df_sd[,"Values"])

Verical orientation

p <- ggplot(df_mean, aes(Samples, Values, fill = Species)) + 
            geom_bar(position="dodge", stat="identity")
print(p) 

To enforce that the bars are plotted in the order specified in the input data, one can instruct ggplot to do so by turning the corresponding column (here Species) into an ordered factor as follows.

df_mean$Species <- factor(df_mean$Species, levels=unique(df_mean$Species), ordered=TRUE)

In the above example this is not necessary since ggplot uses this order already.

Horizontal orientation

p <- ggplot(df_mean, aes(Samples, Values, fill = Species)) + 
            geom_bar(position="dodge", stat="identity") + coord_flip() + 
            theme(axis.text.y=element_text(angle=0, hjust=1))
print(p) 

Faceting

p <- ggplot(df_mean, aes(Samples, Values)) + geom_bar(aes(fill = Species), stat="identity") +
            facet_wrap(~Species, ncol=1)
print(p) 

Error bars

p <- ggplot(df_mean, aes(Samples, Values, fill = Species)) + 
            geom_bar(position="dodge", stat="identity") + 
            geom_errorbar(limits, position="dodge") 
print(p) 

Mirrored

df <- data.frame(group = rep(c("Above", "Below"), each=10), x = rep(1:10, 2), y = c(runif(10, 0, 1), runif(10, -1, 0)))
p <- ggplot(df, aes(x=x, y=y, fill=group)) + 
            geom_col()
print(p) 

Changing Color Settings

library(RColorBrewer)
# display.brewer.all() 
p <- ggplot(df_mean, aes(Samples, Values, fill=Species, color=Species)) +
            geom_bar(position="dodge", stat="identity") + geom_errorbar(limits, position="dodge") + 
            scale_fill_brewer(palette="Blues") + scale_color_brewer(palette = "Greys") 
print(p) 

Using standard R color theme

p <- ggplot(df_mean, aes(Samples, Values, fill=Species, color=Species)) + 
            geom_bar(position="dodge", stat="identity") + geom_errorbar(limits, position="dodge") + 
            scale_fill_manual(values=c("red", "green3", "blue")) + 
            scale_color_manual(values=c("red", "green3", "blue")) 
print(p) 

Exercise 4

Bar plots

  • Task 1: Calculate the mean values for the Species components of the first four columns in the iris data set. Use the melt function from the reshape2 package to bring the data into the expected format for ggplot.
  • Task 2: Generate two bar plots: one with stacked bars and one with horizontally arranged bars.

Structure of iris data set

class(iris)
[1] "data.frame"
iris[1:4,]
table(iris$Species)

    setosa versicolor  virginica 
        50         50         50 

Data reformatting example

Here for line plot

y <- matrix(rnorm(500), 100, 5, dimnames=list(paste("g", 1:100, sep=""), paste("Sample", 1:5, sep="")))
y <- data.frame(Position=1:length(y[,1]), y)
y[1:4, ] # First rows of input format expected by melt()
df <- melt(y, id.vars=c("Position"), variable.name = "Samples", value.name="Values")
p <- ggplot(df, aes(Position, Values)) + geom_line(aes(color=Samples)) + facet_wrap(~Samples, ncol=1)
print(p)

Same data can be represented in box plot as follows

ggplot(df, aes(Samples, Values, fill=Samples)) + geom_boxplot() + geom_jitter(color="darkgrey")

Jitter Plots

p <- ggplot(dsmall, aes(color, price/carat)) + 
            geom_jitter(alpha = I(1 / 2), aes(color=color))
print(p) 

Box plots

p <- ggplot(dsmall, aes(color, price/carat, fill=color)) + geom_boxplot()
print(p) 

Violin plots

p <- ggplot(dsmall, aes(color, price/carat, fill=color)) + geom_violin()
print(p)

Same violin plot as interactive plot generated with ggplotly, where the actual data points are shown as well by including geom_jitter().

p <- ggplot(dsmall, aes(color, price/carat, fill=color)) + geom_violin() + geom_jitter(aes(color=color))
ggplotly(p) 

Density plots

Line coloring

p <- ggplot(dsmall, aes(carat)) + geom_density(aes(color = color))
print(p) 

Area coloring

p <- ggplot(dsmall, aes(carat)) + geom_density(aes(fill = color))
print(p) 

Histograms

p <- ggplot(iris, aes(x=Sepal.Width)) + 
            geom_histogram(aes(y = ..density.., fill = ..count..), binwidth=0.2) + 
            geom_density()  
print(p) 

Pie Chart

df <- data.frame(variable=rep(c("cat", "mouse", "dog", "bird", "fly")), 
                 value=c(1,3,3,4,2)) 
p <- ggplot(df, aes(x = "", y = value, fill = variable)) + 
            geom_bar(width = 1, stat="identity") + 
            coord_polar("y", start=pi / 3) + ggtitle("Pie Chart") 
print(p) 

Wind Rose Pie Chart

p <- ggplot(df, aes(x = variable, y = value, fill = variable)) + 
            geom_bar(width = 1, stat="identity") + 
            coord_polar("y", start=pi / 3) + 
            ggtitle("Pie Chart") 
print(p) 

Arranging Graphics on Page

Using grid package

library(grid)
a <- ggplot(dsmall, aes(color, price/carat)) + geom_jitter(size=4, alpha = I(1 / 1.5), aes(color=color))
b <- ggplot(dsmall, aes(color, price/carat, color=color)) + geom_boxplot()
c <- ggplot(dsmall, aes(color, price/carat, fill=color)) + geom_boxplot() + theme(legend.position = "none")
grid.newpage() # Open a new page on grid device
pushViewport(viewport(layout = grid.layout(2, 2))) # Assign to device viewport with 2 by 2 grid layout 
print(a, vp = viewport(layout.pos.row = 1, layout.pos.col = 1:2))
print(b, vp = viewport(layout.pos.row = 2, layout.pos.col = 1))
print(c, vp = viewport(layout.pos.row = 2, layout.pos.col = 2, width=0.3, height=0.3, x=0.8, y=0.8))

Using gridExtra package

library(gridExtra)                                                                                                                                                            
grid.arrange(a, b, c, nrow = 2, ncol=2)                                                                                                                                       

Also see patchwork in ggplot2 book here.

Inserting Graphics into Plots

library(grid)
print(a)
print(b, vp=viewport(width=0.3, height=0.3, x=0.8, y=0.8))

Specialty Graphics

Spatial Heatmap Diagrams

Spatial expression data can be visualized with the spatialHeatmap package.

sphm### Venn Diagrams

library(systemPipeR)
setlist5 <- list(A=sample(letters, 18), B=sample(letters, 16), C=sample(letters, 20), D=sample(letters, 22), E=sample(letters, 18))
OLlist5 <- overLapper(setlist=setlist5, sep="_", type="vennsets")
vennPlot(OLlist5, mymain="", mysub="default", colmode=2, ccol=c("blue", "red"))

UpSet Plots

library(ComplexHeatmap)
setlist <- list(A=sample(letters, 18), B=sample(letters, 16), C=sample(letters, 20))
setma <- make_comb_mat(setlist)
UpSet(setma)

Compound Structures

Plots depictions of small molecules with ChemmineR package

library(ChemmineR)
data(sdfsample)
plot(sdfsample[1], print=FALSE)

Heatmaps

There are many packages for plotting heatmaps in R. The following uses pheatmap.

library(pheatmap); library("RColorBrewer")
y <- matrix(rnorm(50), 10, 5, dimnames=list(paste("g", 1:10, sep=""), paste("t", 1:5, sep="")))
pheatmap(y, color=brewer.pal(9,"Blues"))

ROC Plots

A variety of libraries are available for plotting receiver operating characteristic (ROC) curves in R:

Example with ROCR

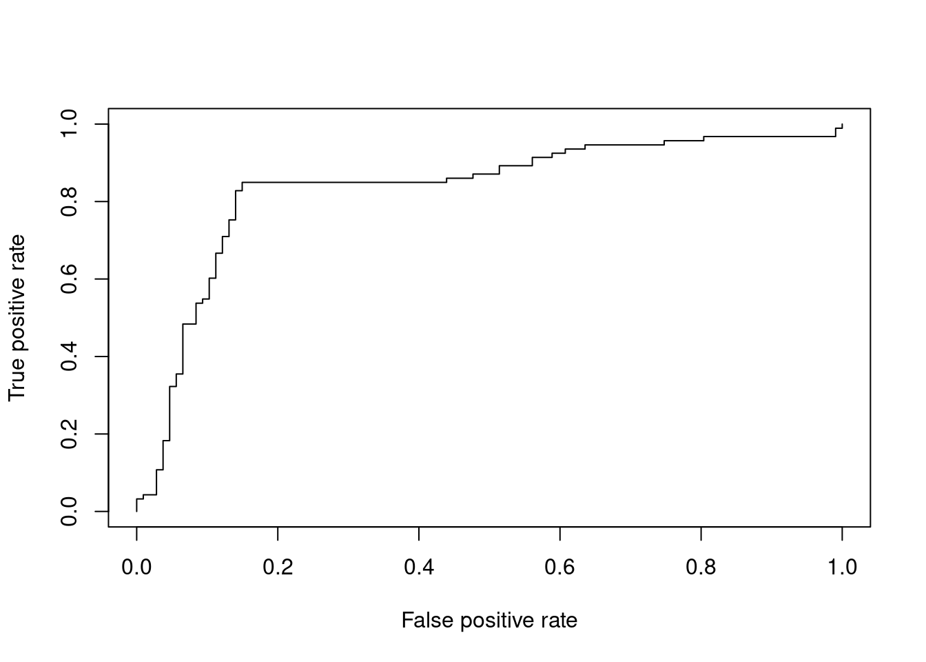
Most commonly, in an ROC we plot the true positive rate (y-axis) against the false positive rate (x-axis) at decreasing thresholds. An illustrative example is provided in the ROCR package where one wants to inspect the content of the ROCR.simple object defining the structure of the input data in two vectors.

# install.packages("ROCR") # Install if necessary
library(ROCR)
data(ROCR.simple)
ROCR.simple
$predictions
  [1] 0.612547843 0.364270971 0.432136142 0.140291078 0.384895941 0.244415489 0.970641299 0.890172812 0.781781371 0.868751832 0.716680598 0.360168796 0.547983407 0.385240464 0.423739359 0.101699993 0.628095575
 [18] 0.744769966 0.657732644 0.490119891 0.072369921 0.172741714 0.105722115 0.890078186 0.945548941 0.984667270 0.360180429 0.448687336 0.014823599 0.543533783 0.292368449 0.701561487 0.715459280 0.714985914
 [35] 0.120604738 0.319672178 0.911723615 0.757325590 0.090988280 0.529402244 0.257402979 0.589909284 0.708412104 0.326672910 0.086546283 0.879459891 0.362693564 0.230157183 0.779771989 0.876086217 0.353281048
 [52] 0.212014560 0.703293499 0.689075677 0.627012496 0.240911145 0.402801992 0.134794140 0.120473353 0.665444679 0.536339509 0.623494622 0.885179651 0.353777439 0.408939895 0.265686095 0.932159806 0.248500489
 [69] 0.858876675 0.491735594 0.151350957 0.694457482 0.496513160 0.123504905 0.499788081 0.310718619 0.907651100 0.340078180 0.195097957 0.371936985 0.517308606 0.419560072 0.865639036 0.018527600 0.539086009
 [86] 0.005422562 0.772728821 0.703885141 0.348213542 0.277656869 0.458674210 0.059045866 0.133257805 0.083685883 0.531958184 0.429650397 0.717845453 0.537091350 0.212404891 0.930846938 0.083048377 0.468610247
[103] 0.393378108 0.663367560 0.349540913 0.194398425 0.844415442 0.959417835 0.211378771 0.943432189 0.598162949 0.834803976 0.576836208 0.380396459 0.161874325 0.912325837 0.642933593 0.392173971 0.122284044
[120] 0.586857799 0.180631658 0.085993218 0.700501359 0.060413627 0.531464015 0.084254795 0.448484671 0.938583020 0.531006532 0.785213140 0.905121019 0.748438143 0.605235403 0.842974300 0.835981859 0.364288579
[137] 0.492596896 0.488179708 0.259278968 0.991096434 0.757364019 0.288258273 0.773336236 0.040906997 0.110241034 0.760726142 0.984599159 0.253271061 0.697235328 0.620501132 0.814586047 0.300973098 0.378092079
[154] 0.016694412 0.698826511 0.658692553 0.470206008 0.501489336 0.239143340 0.050999138 0.088450984 0.107031842 0.746588080 0.480100183 0.336592126 0.579511087 0.118555284 0.233160827 0.461150807 0.370549294
[171] 0.770178504 0.537336015 0.463227453 0.790240205 0.883431431 0.745110673 0.007746305 0.012653524 0.868331219 0.439399995 0.540221346 0.567043171 0.035815400 0.806543942 0.248707470 0.696702150 0.081439129
[188] 0.336315317 0.126480399 0.636728451 0.030235062 0.268138293 0.983494405 0.728536415 0.739554341 0.522384507 0.858970526 0.383807972 0.606960209 0.138387070

$labels
  [1] 1 1 0 0 0 1 1 1 1 0 1 0 1 0 0 0 1 1 1 0 0 0 0 1 0 1 0 0 1 1 0 1 1 1 0 0 1 1 0 1 0 1 0 1 0 1 0 1 0 1 1 0 1 0 1 0 0 0 0 1 1 1 1 0 0 0 1 0 1 0 0 1 0 0 0 0 0 0 0 0 1 0 1 0 0 1 1 0 0 1 0 0 1 0 1 0 1 1 0 1 0 0 0 1 0 0 1
[108] 0 0 1 1 1 0 0 0 1 1 0 0 1 0 0 1 0 1 0 0 1 1 1 1 1 0 1 1 0 0 0 0 1 1 0 1 0 1 0 1 1 1 1 1 0 0 0 1 1 0 1 0 0 0 0 1 0 0 1 0 0 0 0 1 1 0 1 1 1 0 1 1 0 1 1 0 1 0 0 0 1 0 0 0 1 0 1 1 0 1 0 1 0
pred <- prediction(ROCR.simple$predictions, ROCR.simple$labels)
perf <- performance( pred, "tpr", "fpr" )
plot(perf)

Obtain area under the curve (AUC)

auc <- performance( pred, "tpr", "fpr", measure = "auc")
auc@y.values[[1]]
[1] 0.8341875

Example with plotROC

The plotROC package plots ROCs with ggplot2. The following generates a sample data set for several performance results, here three. For convenience the data are first arranged in a data.frame in wide format. Next, the melt_roc is used to convert the data.frame into the long format as required by ggplot.

library(plotROC)
set.seed(2529)
D.ex <- rbinom(200, size = 1, prob = .5); M1 <- rnorm(200, mean = D.ex, sd = .65); M2 <- rnorm(200, mean = D.ex, sd = 1.1); M3 <- rnorm(200, mean = D.ex, sd = 1.5)
perfDF <- data.frame(D = D.ex, D.str = c("TRUE", "Ill")[D.ex + 1], M1 = M1, M2 = M2, M3=M3, stringsAsFactors = FALSE)
perfDF[1:4,] # wide format
long_perfDF <- melt_roc(perfDF, "D", c("M1", "M2", "M3")) # transformed into long format for ggplot
long_perfDF[1:4,] # long format

After converting the sample data into the long format the results can be plotted with geom_roc, where several ROCs are combined in a single plot and the corresponding AUC values are shown in the legend.

multi_roc <- ggplot(long_perfDF, aes(d = D, m = M, color = name)) + geom_roc(n.cuts=0) 
auc_df <- calc_auc(multi_roc) # calculate AUC values
auc_str <- paste0(auc_df$name, ": ", round(auc_df$AUC, 2))
multi_roc + scale_color_manual(name="AUC:", labels=auc_str, values=seq_along(auc_str))

Trees

The ape package provides many useful utilities for phylogenetic analysis and tree plotting. Another useful package for plotting trees is ggtree. The following example plots two trees face to face with links to identical leaf labels.

library(ape)
tree1 <- rtree(40)
tree2 <- rtree(20)
association <- cbind(tree2$tip.label, tree2$tip.label)
cophyloplot(tree1, tree2, assoc = association,
            length.line = 4, space = 28, gap = 3)

Genome Graphics

ggbio

  • What is ggbio?
    • A programmable genome browser environment
  • Genome broswer concepts
    • A genome browser is a visulalization tool for plotting different types of genomic data in separate tracks along chromosomes.
    • The ggbio package (Yin, Cook, and Lawrence 2012) facilitates plotting of complex genome data objects, such as read alignments (SAM/BAM), genomic context/annotation information (gff/txdb), variant calls (VCF/BCF), and more. To easily compare these data sets, it extends the faceting facility of ggplot2 to genome browser-like tracks.
    • Most of the core object types for handling genomic data with R/Bioconductor are supported: GRanges, GAlignments, VCF, etc. For more details, see Table 1.1 of the ggbio vignette here.
    • ggbio’s convenience plotting function is autoplot. For more customizable plots, one can use the generic ggplot function.
    • Apart from the standard ggplot2 plotting components, ggbio defines serval new components useful for genomic data visualization. A detailed list is given in Table 1.2 of the vignette here.
    • Useful web sites:

Tracks: aligning plots along chromosomes

library(ggbio)
df1 <- data.frame(time = 1:100, score = sin((1:100)/20)*10)
p1 <- qplot(data = df1, x = time, y = score, geom = "line")
df2 <- data.frame(time = 30:120, score = sin((30:120)/20)*10, value = rnorm(120-30 +1))
p2 <- ggplot(data = df2, aes(x = time, y = score)) + geom_line() + geom_point(size = 2, aes(color = value))
tracks(time1 = p1, time2 = p2) + xlim(1, 40) + theme_tracks_sunset()

Plotting genomic ranges

GRanges objects are essential for storing alignment or annotation ranges in R/Bioconductor. The following creates a sample GRanges object and plots its content.

library(GenomicRanges)
set.seed(1); N <- 100; gr <- GRanges(seqnames = sample(c("chr1", "chr2", "chr3"), size = N, replace = TRUE), IRanges(start = sample(1:300, size = N, replace = TRUE), width = sample(70:75, size = N,replace = TRUE)), strand = sample(c("+", "-"), size = N, replace = TRUE), value = rnorm(N, 10, 3), score = rnorm(N, 100, 30), sample = sample(c("Normal", "Tumor"), size = N, replace = TRUE), pair = sample(letters, size = N, replace = TRUE))
autoplot(gr, aes(color = strand, fill = strand), facets = strand ~ seqnames)

Plotting coverage

autoplot(gr, aes(color = strand, fill = strand), facets = strand ~ seqnames, stat = "coverage")

Mirrored coverage

pos <- sapply(coverage(gr[strand(gr)=="+"]), as.numeric)
pos <- data.frame(Chr=rep(names(pos), sapply(pos, length)), Strand=rep("+", length(unlist(pos))), Position=unlist(sapply(pos, function(x) 1:length(x))), Coverage=as.numeric(unlist(pos)))
neg <- sapply(coverage(gr[strand(gr)=="-"]), as.numeric)
neg <- data.frame(Chr=rep(names(neg), sapply(neg, length)), Strand=rep("-", length(unlist(neg))), Position=unlist(sapply(neg, function(x) 1:length(x))), Coverage=-as.numeric(unlist(neg)))
covdf <- rbind(pos, neg)
p <- ggplot(covdf, aes(Position, Coverage, fill=Strand)) + 
            geom_col() + 
            facet_wrap(~Chr)
p

Circular genome plots

ggbio() + 
  circle(gr, aes(fill = seqnames), geom = "rect")

More complex circular example

seqlengths(gr) <- c(400, 500, 700)
values(gr)$to.gr <- gr[sample(1:length(gr), size = length(gr))]
idx <- sample(1:length(gr), size = 50)
gr <- gr[idx]
ggplot() + 
    layout_circle(gr, geom = "ideo", fill = "gray70", radius = 7, trackWidth = 3) +
    layout_circle(gr, geom = "bar", radius = 10, trackWidth = 4, aes(fill = score, y = score)) +
    layout_circle(gr, geom = "point", color = "red", radius = 14, trackWidth = 3, grid = TRUE, aes(y = score)) +
    layout_circle(gr, geom = "link", linked.to = "to.gr", radius = 6, trackWidth = 1)

vim-r#### Alignments and variants

To make the following example work, please download and unpack this data archive containing GFF, BAM and VCF sample files.

library(rtracklayer); library(GenomicFeatures); library(txdbmaker); library(Rsamtools); library(GenomicAlignments); library(VariantAnnotation)
ga <- readGAlignments("./data/SRR064167.fastq.bam", use.names=TRUE, param=ScanBamParam(which=GRanges("Chr5", IRanges(4000, 8000))))
p1 <- autoplot(ga, geom = "rect")
p2 <- autoplot(ga, geom = "line", stat = "coverage")
vcf <- readVcf(file="data/varianttools_gnsap.vcf", genome="ATH1")
p3 <- autoplot(vcf[seqnames(vcf)=="Chr5"], type = "fixed") + xlim(4000, 8000) + theme(legend.position = "none", axis.text.y = element_blank(), axis.ticks.y=element_blank())
txdb <- makeTxDbFromGFF(file="./data/TAIR10_GFF3_trunc.gff", format="gff3")
p4 <- autoplot(txdb, which=GRanges("Chr5", IRanges(4000, 8000)), names.expr = "gene_id")
tracks(Reads=p1, Coverage=p2, Variant=p3, Transcripts=p4, heights = c(0.3, 0.2, 0.1, 0.35)) + ylab("")

Additional examples

See autoplot demo here

Additional genome graphics

Genome Browser: IGV

View genome data in IGV

  • Download and open IGV
  • Select in menu in top left corner A. thaliana (TAIR10)
  • Upload the following indexed/sorted Bam files with File -> Load from URL...
https://cluster.hpcc.ucr.edu/~tgirke/Teaching/GEN242/bam_samples/SRR064154.fastq.bam
https://cluster.hpcc.ucr.edu/~tgirke/Teaching/GEN242/bam_samples/SRR064155.fastq.bam
https://cluster.hpcc.ucr.edu/~tgirke/Teaching/GEN242/bam_samples/SRR064166.fastq.bam
https://cluster.hpcc.ucr.edu/~tgirke/Teaching/GEN242/bam_samples/SRR064167.fastq.bam
  • To view area of interest, enter its coordinates Chr1:49,457-51,457 in position menu on top.

vim-r#### Create symbolic links

For viewing BAM files in IGV as part of systemPipeR workflows.

  • systemPipeR: utilities for building NGS analysis pipelines.
library("systemPipeR")
symLink2bam(sysargs=args, htmldir=c("~/.html/", "somedir/"), 
            urlbase="http://myserver.edu/~username/",
            urlfile="IGVurl.txt")

Controlling IGV from R

Open IGV before running the following routine. Alternatively, open IGV from within R with startIGV("lm"). Note, the latter may not work on all systems.

library(SRAdb)
myurls <- readLines("http://cluster.hpcc.ucr.edu/~tgirke/Documents/R_BioCond/Samples/bam_urls.txt")
# startIGV("lm") # opens IGV
sock <- IGVsocket()
IGVload(sock, myurls)
IGVgoto(sock, 'Chr1:45296-47019')

Session Info

sessionInfo()
R version 4.5.1 (2025-06-13)
Platform: x86_64-pc-linux-gnu
Running under: Debian GNU/Linux 11 (bullseye)

Matrix products: default
BLAS:   /usr/lib/x86_64-linux-gnu/blas/libblas.so.3.9.0 
LAPACK: /usr/lib/x86_64-linux-gnu/lapack/liblapack.so.3.9.0  LAPACK version 3.9.0

locale:
 [1] LC_CTYPE=en_US.UTF-8       LC_NUMERIC=C               LC_TIME=en_US.UTF-8        LC_COLLATE=en_US.UTF-8     LC_MONETARY=en_US.UTF-8    LC_MESSAGES=en_US.UTF-8    LC_PAPER=en_US.UTF-8       LC_NAME=C                 
 [9] LC_ADDRESS=C               LC_TELEPHONE=C             LC_MEASUREMENT=en_US.UTF-8 LC_IDENTIFICATION=C       

time zone: America/Los_Angeles
tzcode source: system (glibc)

attached base packages:
[1] grid      stats4    stats     graphics  grDevices utils     datasets  methods   base     

other attached packages:
 [1] VariantAnnotation_1.56.0    txdbmaker_1.6.2             GenomicFeatures_1.62.0      AnnotationDbi_1.72.0        rtracklayer_1.70.1          ggbio_1.58.0                ape_5.8-1                  
 [8] plotROC_2.3.3               ROCR_1.0-11                 pheatmap_1.0.13             ChemmineR_3.62.0            ComplexHeatmap_2.26.0       systemPipeR_2.16.3          ShortRead_1.68.0           
[15] GenomicAlignments_1.46.0    SummarizedExperiment_1.40.0 Biobase_2.70.0              MatrixGenerics_1.22.0       matrixStats_1.5.0           BiocParallel_1.44.0         Rsamtools_2.26.0           
[22] Biostrings_2.78.0           XVector_0.50.0              GenomicRanges_1.62.1        IRanges_2.44.0              S4Vectors_0.48.0            Seqinfo_1.0.0               BiocGenerics_0.56.0        
[29] generics_0.1.4              gridExtra_2.3               RColorBrewer_1.1-3          reshape2_1.4.5              plotly_4.11.0               ggplot2_4.0.1               lattice_0.22-7             

loaded via a namespace (and not attached):
  [1] rstudioapi_0.17.1       jsonlite_2.0.0          shape_1.4.6.1           magrittr_2.0.4          farver_2.1.2            rmarkdown_2.30          BiocIO_1.20.0           GlobalOptions_0.1.3    
  [9] vctrs_0.6.5             memoise_2.0.1           RCurl_1.98-1.17         base64enc_0.1-3         progress_1.2.3          htmltools_0.5.9         S4Arrays_1.10.1         curl_7.0.0             
 [17] SparseArray_1.10.8      Formula_1.2-5           htmlwidgets_1.6.4       httr2_1.2.2             plyr_1.8.9              cachem_1.1.0            lifecycle_1.0.4         iterators_1.0.14       
 [25] pkgconfig_2.0.3         Matrix_1.7-4            R6_2.6.1                fastmap_1.2.0           clue_0.3-66             digest_0.6.39           rsvg_2.7.0              colorspace_2.1-2       
 [33] OrganismDbi_1.52.0      Hmisc_5.2-4             RSQLite_2.4.5           hwriter_1.3.2.1         labeling_0.4.3          filelock_1.0.3          httr_1.4.7              abind_1.4-8            
 [41] compiler_4.5.1          bit64_4.6.0-1           withr_3.0.2             doParallel_1.0.17       htmlTable_2.4.3         S7_0.2.1                backports_1.5.0         DBI_1.2.3              
 [49] biomaRt_2.66.0          rappdirs_0.3.3          DelayedArray_0.36.0     rjson_0.2.23            tools_4.5.1             foreign_0.8-90          otel_0.2.0              nnet_7.3-20            
 [57] glue_1.8.0              restfulr_0.0.16         nlme_3.1-168            checkmate_2.3.3         cluster_2.1.8.1         BSgenome_1.78.0         gtable_0.3.6            ensembldb_2.34.0       
 [65] tidyr_1.3.2             hms_1.1.4               data.table_1.18.0       foreach_1.5.2           pillar_1.11.1           stringr_1.6.0           circlize_0.4.17         dplyr_1.1.4            
 [73] BiocFileCache_3.0.0     bit_4.6.0               deldir_2.0-4            biovizBase_1.58.0       RBGL_1.86.0             tidyselect_1.2.1        knitr_1.51              ProtGenerics_1.42.0    
 [81] xfun_0.55               DT_0.34.0               stringi_1.8.7           UCSC.utils_1.6.1        lazyeval_0.2.2          yaml_2.3.12             evaluate_1.0.5          codetools_0.2-20       
 [89] cigarillo_1.0.0         interp_1.1-6            tibble_3.3.0            graph_1.88.1            BiocManager_1.30.27     cli_3.6.5               rpart_4.1.24            dichromat_2.0-0.1      
 [97] Rcpp_1.1.0              GenomeInfoDb_1.46.2     dbplyr_2.5.1            png_0.1-8               XML_3.99-0.20           parallel_4.5.1          blob_1.2.4              prettyunits_1.2.0      
[105] latticeExtra_0.6-31     jpeg_0.1-11             AnnotationFilter_1.34.0 bitops_1.0-9            pwalign_1.6.0           viridisLite_0.4.2       scales_1.4.0            purrr_1.2.0            
[113] crayon_1.5.3            GetoptLong_1.1.0        rlang_1.1.6             KEGGREST_1.50.0        
Back to top

References

Wickham, Hadley. 2009. ggplot2: elegant graphics for data analysis.” http://had.co.nz/ggplot2/book.
———. 2010. A Layered Grammar of Graphics.” J. Comput. Graph. Stat. 19 (1): 3–28. https://doi.org/10.1198/jcgs.2009.07098.
Wilkinson, Leland. 2012. The Grammar of Graphics.” In Handbook of Computational Statistics: Concepts and Methods, edited by James E Gentle, Wolfgang Karl Härdle, and Yuichi Mori, 375–414. Berlin, Heidelberg: Springer Berlin Heidelberg. https://doi.org/10.1007/978-3-642-21551-3\_13.
Yin, T, D Cook, and M Lawrence. 2012. “Ggbio: An R Package for Extending the Grammar of Graphics for Genomic Data.” Genome Biol. 13 (8). https://doi.org/10.1186/gb-2012-13-8-r77.
Zhang, H, P Meltzer, and S Davis. 2013. RCircos: An R Package for Circos 2D Track Plots.” BMC Bioinformatics 14: 244–44. https://doi.org/10.1186/1471-2105-14-244.