Breadcrumb

Research Overview

This project investigates unanswered scientific questions relevant to the modification and manipulation of electronic materials and quantum devices from ion irradiation:

  • Correlate changes in material electrical properties, with irradiation-induced structure defects at the nanoscale.
ion beam
  • Uncover relationships between the performance characteristics of quantum devices with radiation-induced structural defects to better understand how they affect fundamental parameters such as energy gap, coherence length, and device properties such as noise, and sensitivity.
ionrad
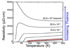
Resistivity as a function of temperature for ion irradiated films of YBCO.
  • Compare and contrast how irradiated electronic materials are influenced by implant ion energy, mass, and radiation fluence.
  • Investigate and discern the effects of chemical doping and lattice disorder in ion-beam-modified materials.
sputter
  • Study interactions between ferromagnetic and superconducting quantum order: these studies will be conducted via implantation of magnetic ions into superconductor bulkmaterials and into devices.

Visit our Google Scholar Web pages for additional information: Shane Cybart, Ludwig Bartels, Xiaoqing Pan

This website is supported by the National Nuclear Security Administration (NNSA) Minority Serving Institutions Partnership Program of the U.S. Department of Energy (DOE) as part of DE-NA0004106. The contents are those of the author(s) and do not necessarily represent the official views of, nor an endorsement, by DOE, NNSA, or the U.S. Government. For more information, please visit NNSA Minority Serving Institution Partnership Program (MSIPP) | Department of Energy.