009A Sample Midterm 1, Problem 3

From Grad Wiki
Jump to navigation Jump to search

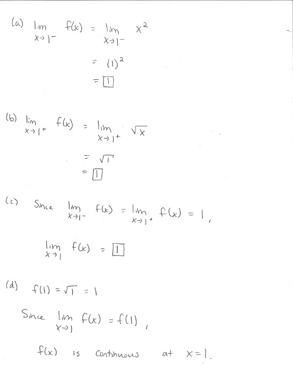
Consider the following function  

(a) Find  

(b) Find  

(c) Find  

(d) Is    continuous at    Briefly explain.


Detailed Solution with Background Information

9ASM1P3.jpg


Return to Sample Exam