009A Sample Midterm 1, Problem 5

From Grad Wiki
Jump to navigation Jump to search

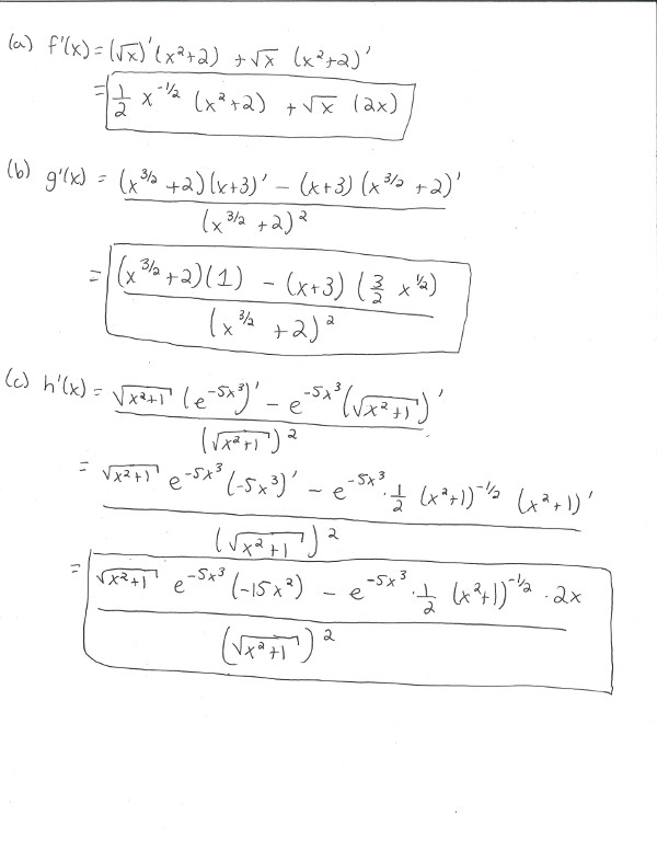
Find the derivatives of the following functions. Do not simplify.

(a)  

(b)   where

(c)  


Detailed Solution with Background Information

9ASM1P5.jpg

Return to Sample Exam